【藥品名稱】
通用名:口服葡萄糖
英文名:Glucose pro orale
漢語拼音:Koufu putaotang
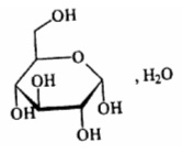
本品化學名稱為:D-(+)-吡喃葡萄糖一水合物。
其結構式為:
?

分子式:C6H12O6????分子量:198.17
【性狀】本品為白色或幾乎白色結晶性或顆粒性粉末;無臭,味甜。
【藥理毒理】葡萄糖為機體所需能量的主要來源,在體內被氧化成二氧化碳和水并同時供給熱量,或以糖原形式貯存,能促進肝臟的解毒功能并對肝臟有保護作用。
【藥代動力學】葡萄糖口服后能迅速吸收,進入人體后被組織利用,也可轉化成糖原和脂肪貯存,一般正常人體每分鐘利用葡萄糖的能力為4~6mg/kg。
【適應癥】用作營養補助,過多應用本品可致血糖升高,肝及其他組織脂肪堆積。。
【用法用量】口服,每次1/10包(50g)以內。
【不良反應】(1)口服速度過快和濃度過高時可出現胃腸道不適;(2)長期單純補給葡萄糖時,通過利尿等因素可出現低鉀、低鈉及代磷血癥。
【注意事項】(1)糖尿病酮癥酸中毒未控制者、高血糖非酮性高滲狀態者、葡萄糖-半乳糖吸收不良癥者禁用;(2)置于兒童不能觸及處。
【規格】500g
【貯藏】密封,在干燥處保存。
【包裝】塑料袋500g/包
【有效期】2年
【批準文號】國藥準字H36021985
【生產企業】?江西新贛江藥業有限公司